这篇指南介绍如何使用 Pandoc 将文档转换为多种不同的格式。

Pandoc 是一个命令行工具,用于将文件从一种标记语言转换为另一种标记语言。标记语言使用标签来标记文档的各个部分。常用的标记语言包括 Markdown、ReStructuredText、HTML、LaTex、ePub 和 Microsoft Word DOCX。
简单来说,Pandoc 允许你将一些文件从一种标记语言转换为另一种标记语言。典型的例子包括将 Markdown 文件转换为演示文稿、LaTeX,PDF 甚至是 ePub。
本文将解释如何使用 Pandoc 从单一标记语言(在本文中为 Markdown)生成多种格式的文档,引导你完成从 Pandoc 安装,到展示如何创建多种类型的文档,再到提供有关如何编写易于移植到其他格式的文档的提示。
文中还将解释使用元信息文件对文档内容和元信息(例如,作者姓名、使用的模板、书目样式等)进行分离的意义。
Pandoc 安装和要求
Pandoc 默认安装在大多数 Linux 发行版中。本教程使用 pandoc-2.2.3.2 和 pandoc-citeproc-0.14.3。如果不打算生成 PDF,那么这两个包就足够了。但是,我建议也安装 texlive,这样就可以选择生成 PDF 了。
通过以下命令在 Linux 上安装这些程序:
sudo apt-get install pandoc pandoc-citeproc texlive
您可以在 Pandoc 的网站上找到其他平台的 安装说明。
我强烈建议安装 pandoc-crossref,这是一个“用于对图表,方程式,表格和交叉引用进行编号的过滤器”。最简单的安装方式是下载 预构建的可执行文件,但也可以通过以下命令从 Haskell 的软件包管理器 cabal 安装它:
cabal update
cabal install pandoc-crossref
如果需要额外的 Haskell 安装信息,请参考 pandoc-crossref 的 GitHub 仓库。
几个例子
我将通过解释如何生成三种类型的文档来演示 Pandoc 的工作原理:
- 由包含数学公式的 LaTeX 文件创建的网页
- 由 Markdown 文件生成的 Reveal.js 幻灯片
- 混合 Markdown 和 LaTeX 的合同文件
创建一个包含数学公式的网站
Pandoc 的优势之一是以不同的输出文件格式显示数学公式。例如,我们可以从包含一些数学符号(用 LaTeX 编写)的 LaTeX 文档(名为 math.tex)生成一个网页。
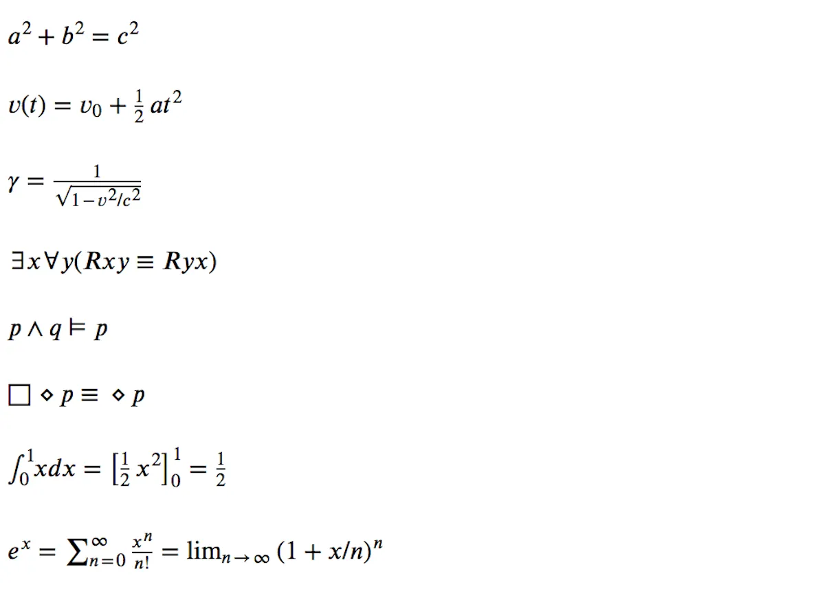
math.tex 文档如下所示:
% Pandoc math demos
$a^2 + b^2 = c^2$
$v(t) = v_0 + frac{1}{2}at^2$
$gamma = frac{1}{sqrt{1 - v^2/c^2}}$
$exists x forall y (Rxy equiv Ryx)$
$p wedge q models p$
$Boxdiamond pequivdiamond p$
$int_{0}^{1} x dx = left[ frac{1}{2}x^2 right]_{0}^{1} = frac{1}{2}$
$e^x = sum_{n=0}^infty frac{x^n}{n!} = lim_{nrightarrowinfty} (1+x/n)^n$
通过输入以下命令将 LaTeX 文档转换为名为 mathMathML.html 的网站:
pandoc math.tex -s --mathml -o mathMathML.html
参数 -s 告诉 Pandoc 生成一个独立的网页(而不是网页片段,因此它将包括 HTML 中的 head 和 body 标签),-mathml 参数强制 Pandoc 将 LaTeX 中的数学公式转换成 MathML,从而可以由现代浏览器进行渲染。

看一下 网页效果 和 代码,代码仓库中的 Makefile 使得运行更加简单。
制作一个 Reveal.js 幻灯片
使用 Pandoc 从 Markdown 文件生成简单的演示文稿很容易。幻灯片包含顶级幻灯片和下面的嵌套幻灯片。可以通过键盘控制演示文稿,从一个顶级幻灯片跳转到下一个顶级幻灯片,或者显示顶级幻灯片下面的嵌套幻灯片。 这种结构在基于 HTML 的演示文稿框架中很常见。
创建一个名为 SLIDES 的幻灯片文档(参见 代码仓库)。首先,在 % 后面添加幻灯片的元信息(例如,标题、作者和日期):
% Case Study
% Kiko Fernandez Reyes
% Sept 27, 2017
这些元信息同时也创建了第一张幻灯片。要添加更多幻灯片,使用 Markdown 的一级标题(在下面例子中的第5行,参考 Markdown 的一级标题 )生成顶级幻灯片。
例如,可以通过以下命令创建一个标题为 “Case Study”、顶级幻灯片名为 “Wine Management System” 的演示文稿:
% Case Study
% Kiko Fernandez Reyes
% Sept 27, 2017
# Wine Management System
使用 Markdown 的二级标题将内容(比如包含一个新管理系统的说明和实现的幻灯片)放入刚刚创建的顶级幻灯片。下面添加另外两张幻灯片(在下面例子中的第 7 行和 14 行 ,参考 Markdown 的二级标题 )。
- 第一个二级幻灯片的标题为 “Idea”,并显示瑞士国旗的图像
- 第二个二级幻灯片的标题为 “Implementation”
% Case Study
% Kiko Fernandez Reyes
% Sept 27, 2017
# Wine Management System
## <img src="img/SwissFlag.webp" style="vertical-align:middle"/> Idea
## Implementation
我们现在有一个顶级幻灯片(#Wine Management System),其中包含两张幻灯片(## Idea 和 ## Implementation)。
通过创建一个由符号 > 开头的 Markdown 列表,在这两张幻灯片中添加一些内容。在上面代码的基础上,在第一张幻灯片中添加两个项目(第 9-10 行),第二张幻灯片中添加五个项目(第 16-20 行):
% Case Study
% Kiko Fernandez Reyes
% Sept 27, 2017
# Wine Management System
## <img src="img/SwissFlag.webp" style="vertical-align:middle"/> Idea
>- Swiss love their **wine** and cheese
>- Create a *simple* wine tracker system

## Implementation
>- Bottles have a RFID tag
>- RFID reader (emits and read signal)
>- **Raspberry Pi**
>- **Server (online shop)**
>- Mobile app
上面的代码添加了马特洪峰的图像,也可以使用纯 Markdown 语法或添加 HTML 标签来改进幻灯片。
要生成幻灯片,Pandoc 需要引用 Reveal.js 库,因此它必须与 SLIDES 文件位于同一文件夹中。生成幻灯片的命令如下所示:
pandoc -t revealjs -s --self-contained SLIDES
-V theme=white -V slideNumber=true -o index.html

上面的 Pandoc 命令使用了以下参数:
-t revealjs表示将输出一个 revealjs 演示文稿-s告诉 Pandoc 生成一个独立的文档--self-contained生成没有外部依赖关系的 HTML 文件-V设置以下变量:theme=white将幻灯片的主题设为白色slideNumber=true显示幻灯片编号
-o index.html在名为index.html的文件中生成幻灯片
为了简化操作并避免键入如此长的命令,创建以下 Makefile:
all: generate
generate:
pandoc -t revealjs -s --self-contained SLIDES
-V theme=white -V slideNumber=true -o index.html
clean: index.html
rm index.html
.PHONY: all clean generate
可以在 这个仓库 中找到所有代码。
制作一份多种格式的合同
假设你正在准备一份文件,并且(这样的情况现在很常见)有些人想用 Microsoft Word 格式,其他人使用自由软件,想要 ODT 格式,而另外一些人则需要 PDF。你不必使用 OpenOffice 或 LibreOffice 来生成 DOCX 或 PDF 格式的文件,可以用 Markdown 创建一份文档(如果需要高级格式,可以使用一些 LaTeX 语法),并生成任何这些文件类型。
和以前一样,首先声明文档的元信息(标题、作者和日期):
% Contract Agreement for Software X
% Kiko Fernandez-Reyes
% August 28th, 2018
然后在 Markdown 中编写文档(如果需要高级格式,则添加 LaTeX)。例如,创建一个固定间隔的表格(在 LaTeX 中用 hspace{3cm} 声明)以及客户端和承包商应填写的行(在 LaTeX 中用 hrulefill 声明)。之后,添加一个用 Markdown 编写的表格。
创建的文档如下所示:

创建此文档的代码如下:
% Contract Agreement for Software X
% Kiko Fernandez-Reyes
% August 28th, 2018
...
### Work Order
begin{table}[h]
begin{tabular}{ccc}
The Contractor & hspace{3cm} & The Customer \
& & \
& & \
hrulefill & hspace{3cm} & hrulefill \
%
Name & hspace{3cm} & Name \
& & \
& & \
hrulefill & hspace{3cm} & hrulefill \
...
end{tabular}
end{table}
vspace{1cm}
+--|-|-+
| | | |
+--|-|-+
| | | |
+--|-|-+
要生成此文档所需的三种不同输出格式,编写如下的 Makefile:
DOCS=contract-agreement.md
all: $(DOCS)
pandoc -s $(DOCS) -o $(DOCS:md=pdf)
pandoc -s $(DOCS) -o $(DOCS:md=docx)
pandoc -s $(DOCS) -o $(DOCS:md=odt)
clean:
rm *.pdf *.docx *.odt
.PHONY: all clean
4 到 7 行是生成三种不同输出格式的具体命令:
如果有多个 Markdown 文件并想将它们合并到一个文档中,需要按照希望它们出现的顺序编写命令。例如,在撰写本文时,我创建了三个文档:一个介绍文档、三个示例和一些高级用法。以下命令告诉 Pandoc 按指定的顺序将这些文件合并在一起,并生成一个名为 document.pdf 的 PDF 文件。
pandoc -s introduction.md examples.md advanced-uses.md -o document.pdf
模板和元信息
编写复杂的文档并非易事,你需要遵循一系列独立于内容的规则,例如使用特定的模板、编写摘要、嵌入特定字体,甚至可能要声明关键字。所有这些都与内容无关:简单地说,它就是元信息。
Pandoc 使用模板生成不同的输出格式。例如,有一个 LaTeX 的模板,还有一个 ePub 的模板,等等。这些模板的元信息中有未赋值的变量。使用以下命令找出 Pandoc 模板中可用的元信息:
pandoc -D FORMAT
例如,LaTex 的模版是:
pandoc -D latex
按照以下格式输出:
$if(title)$
title{$title$if(thanks)$thanks{$thanks$}$endif$}
$endif$
$if(subtitle)$
providecommand{subtitle}[1]{}
subtitle{$subtitle$}
$endif$
$if(author)$
author{$for(author)$author$sep$ and $endfor$}
$endif$
$if(institute)$
providecommand{institute}[1]{}
institute{$for(institute)$institute$sep$ and $endfor$}
$endif$
date{$date$}
$if(beamer)$
$if(titlegraphic)$
titlegraphic{includegraphics{$titlegraphic$}}
$endif$
$if(logo)$
logo{includegraphics{$logo$}}
$endif$
$endif$
begin{document}
如你所见,输出的内容中有标题、致谢、作者、副标题和机构模板变量(还有许多其他可用的变量)。可以使用 YAML 元区块轻松设置这些内容。 在下面例子的第 1-5 行中,我们声明了一个 YAML 元区块并设置了一些变量(使用上面合同协议的例子):
(continue writing document as in the previous example)
这样做非常奏效,相当于以前的代码:
% Contract Agreement for Software X
% Kiko Fernandez-Reyes
% August 28th, 2018
然而,这样做将元信息与内容联系起来,也即 Pandoc 将始终使用此信息以新格式输出文件。如果你将要生成多种文件格式,最好要小心一点。例如,如果你需要以 ePub 和 HTML 的格式生成合同,并且 ePub 和 HTML 需要不同的样式规则,该怎么办?
考虑一下这些情况:
- 如果你只是尝试嵌入 YAML 变量
css:style-epub.css,那么将从 HTML 版本中移除该变量。这不起作用。 - 复制文档显然也不是一个好的解决方案,因为一个版本的更改不会与另一个版本同步。
- 你也可以像下面这样将变量添加到 Pandoc 命令中:
pandoc -s -V css=style-epub.css document.md document.epub
pandoc -s -V css=style-html.css document.md document.html
我的观点是,这样做很容易从命令行忽略这些变量,特别是当你需要设置数十个变量时(这可能出现在编写复杂文档的情况中)。现在,如果将它们放在同一文件中(meta.yaml 文件),则只需更新或创建新的元信息文件即可生成所需的输出格式。然后你会编写这样的命令:
pandoc -s meta-pub.yaml document.md document.epub
pandoc -s meta-html.yaml document.md document.html
这是一个更简洁的版本,你可以从单个文件更新所有元信息,而无需更新文档的内容。
结语
通过以上的基本示例,我展示了 Pandoc 在将 Markdown 文档转换为其他格式方面是多么出色。
via: https://opensource.com/article/18/9/intro-pandoc
作者:Kiko Fernandez-Reyes 选题:lujun9972 译者:jlztan 校对:wxy


发表回复